ΖΕΜΠΙΛΗΣ: Αποδίδονται 1.752.006 ευρώ σε οικιακούς καταναλωτές ρεύματος για το 2020 σε Καρυστία και Εύβοια
29 Μαρτίου 2023, 11:25
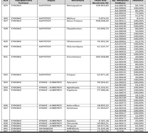
Δείτε αναλυτικά τι ποσά θα δοθούν ανά περιοχή.
Όπως ανακοινώθηκε σχετικά από τον βουλευτή Εύβοιας της ΝΔ Θανάση Ζεμπίλη, ο αρμόδιος υπουργός Ενέργειας αποφάσισε η εκκαθάριση και ο επιμερισμός των ποσών του ειδικού τέλους ΑΠΕ 1% στους δικαιούχους οικιακούς καταναλωτές, που βρίσκονται σε περιοχές εγκατάστασης ΑΠΕ, να γίνεται κάθε χρόνο και όχι ανά πενταετία,
Στο πλαίσιο αυτό, εκδόθηκε η απόφαση για το έτος 2020, για το οποίο θα αποδοθεί ποσό 1.752.006 ευρώ σε οικιακούς καταναλωτές ρεύματος σε Καρυστία και Εύβοια.
Στους παρακάτω πίνακες μπορείτε να δείτε το ποσό, που αντιστοιχεί ανά περιοχή:






















